Многодиапазонные тюнеры, часть II. Некоторые концепции в разработке несимметричных схем
В этой статье рассматриваются варианты известной схемы многодиапазонного тюнера, не имеющего переключений контуров.
Многодиапазонный тюнер был предложен King’ом (из National Company) в 1948 году [ 1 ]. Схема была использована в разработанном Chambers’ом позднее передатчике [ 2 ], который был зарегистрирован под промышленной маркой National Company Type MB-150 и MB40L. Чтобы радиолюбители могли сами рассчитать соответствующие узлы тюнера, вышло издание [ 3 ]. Там была описана и возможная модификация тюнера, в состав которого входила только одна катушка с отводами, вместо обычных двух. В этой статье рассматриваются оба варианта.
Базовая схема тюнера, приведённая King’ом имеет несимметричную форму и показана на Рис. 1.
Рис. 1. Базовая схема несимметричного многодиапазонного тюнера.
Одинаковые по ёмкости КПЕ используются во многих схемах National, но не будем заострять на этом внимание.
Конденсаторы сблокированы друг с другом механически (отдельные КПЕ или один двухсекционный),
а катушки индуктивности экранированы друг от друга (не имеют связи друг с другом:
ни индуктивной, ни ёмкостной). Эта схема (правильно рассчитанная) способна обеспечить
перекрытие частот по диапазону, равное перекрытию конденсатора по ёмкости (Смакс/Смин),
а не корню квадратному из перекрытия по ёмкости как в обычных схемах. Поэтому перекрываемый
диапазон частот предлагаемого тюнера возможен (как отношение частот) 8 : 1 или даже
9 : 1 без переключения катушек индуктивности.
В схеме на Рис. 1 присутствует одновременно две резонансных частоты параллельных контуров, так же как и одна - последовательного. Две частоты параллельного резонанса могут быть связаны между собой по гармоникам (одна частота – гармоника другой) или не связаны (зависит от требований разработчика). Частота последовательного резонанса всегда лежит между частотами параллельного и может даже участвовать в подавлении нежелательных гармоник выходного сигнала.
Если f0 – частота отдельно взятого контура L2C, тогда частоты параллельного резонанса выразятся как:
fr1 = K1f0 (1)
и fr2 = K2f0, (2)
где К1 и К2 - постоянные для всех положений С и зависящие от L1, L2 и m (величина, выражающая соотношение емкостей КПЕ) на Рис. 1. Когда ёмкость КПЕ изменяется по диапазону: f0 изменяется от f01 (нижняя частота) до f02 (верхняя частота), частоты fr1 и fr2 изменяются от K1f01 до K1f02, соответственно. Эта ситуация схематично показана на Рис. 2 на оси частот (не на шкале настройки).
Рис. 2. Представление диапазона перестройки на шкале частот.
Два диапазона занимают те же положения на шкале настройки конденсатора, даже, если они разнесены по частоте.
Поскольку К1 и К2 зависят только от
L1, L2 и m (Рис. 1), они могут быть выбраны
в некоторых пределах компромиссно. На практике для возможных случаев: К1
- численно меньше единицы, а К2 - больше единицы. Отношение К2/К1
может быть таким как пожелаете, что означает: диапазоны на Рис. 2 могут или: а)
накладываться друг на друга или b) граничить друг с другом или с) быть отделёнными друг
от друга по шкале частот. Максимальный возможный непрерывный диапазон перекрываемых
тюнером частот может быть только в случае b, что означает: K1f02 = K2f01 или K2/K1 = f02/f01. Настроечное отношение, в этом случае: K2f02/K1f01 = (f02/f01)^2 = Cмакс/Смин. Выбор параметров, таким
образом, определяется желаемым отношением перестройки тюнера. Другими словами:
К2 и К1. Расчёт должен быть таким, что значение К2/К1 должно
быть сдвинуто к середине от крайних частот, если Вы хотите избежать выделения гармоник.
Нам также потребуется отношение между К и параметрами схемы.
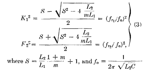
Входное отношение (admittance) схемы на Рис. 1 может быть записано обычным способом и приравнено нулю. В результате решения квадратичного уравнения четвёртой степени получаем частоты параллельного резонанса (и, отсюда: К). Отношение для К:
Поскольку, обычно, желательно получить L2/L1, когда даны m и К, то уравнение (3) может быть преобразовано для получения этого результата:
который выбирается для К1 или К2. Для обычного случая, при равных емкостях КПЕ, m = 1 и уравнения (3) и (4) превращаются в:
В уравнении (3а) для расчёта К2 используется знак + (плюс), для К1 – минус.
Кривые К2, К1 и соотношение К2/К1 в зависимости от L2/L1 показаны на Рис. 3 и Рис. 4. Рис. 3 - для равных ёмкостей КПЕ (m = 1). Рис. 4 - для m = 0,5.

Рис. 3. Кривые К2 и К1 и отношение К2/К1 в зависимости от отношения L2/L1
для КПЕ, имеющих равные ёмкости (m = 1).

Рис. 4. Кривые К2,К1 и отношение К2/К1 в зависимости от отношения L2/L1 при m = 0,5.
Предпочитаемые рабочие точки, с целью избежать паразитных резонансов на гармониках основного сигнала, показаны на кривых.
Если применяются сблокированные КПЕ с неодинаковой, но приемлемой для использования ёмкостью, то m ≠ 1. Как можно видеть из Рис. 4, предпочитаемая рабочая точка К2/К1 = 2, 5 приходится на соотношение L2/L1 = 1, 06 при m = 0,5. Отсюда, если удобнее выбрать одинаковые катушки (L1 = L2), то и m выбирается соответственно. Значение m = 0,789 даёт L1 = L2 и К2/К1 = 2,5.
В качестве примера расчёта предположим, что нам необходимо производить согласование (настраивать антенную цепь) в диапазоне 3,5…21,5 МГц. Примем к сведению, что используются идентичные сблокированные КПЕ и, что соотношение емкостей КПЕ составляет, как минимум, 6,25 : 1 (например, 150 пФ максимальная и 24 пФ - минимальная). Если мы желаем непрерывного перекрытия диапазона частот, то нам нужно выбрать соотношение К2/К1 = (6,25)^1/2 = 2,5. Это значение является предпочитаемой рабочей точкой на Рис. 3, при котором L2/L1 = 0,8, К2 = 1,5 и К1 = 0,6. Наименьшая из необходимых частот равна 3,5 МГц является К1f01, поэтому f01 (резонансная частота контура L2Cмакс) = 3,5 / 0,6 = 5,83 МГц. Для данного конденсатора индуктивность катушки определяется как для частоты 5,83 МГц. Катушка L1 = L2/0,8 = 1,25L2. При минимальной ёмкости КПЕ, резонансная частота контура L2Cмин равна 5,83 х 2,5 = 14,6 МГц. Итак, два диапазона A и B (Рис. 2) простираются от 0,6 х 5,83 = 3,5 МГц до 0,6 х 14,6 = 8,75 МГц и от 1,5 х 5,83 = 8,75 МГц до 1,5 х 14,6 = 21,9 МГц. Эти два поддиапазона, конечно же, соседствуют на шкале настройки и перекрываются одновременно, при вращении роторов КПЕ на 180 градусов.
Тюнер на выходе может быть согласован только с L2. В этом случае, импеданс при параллельном резонансе будет в К^2 раз больше, чем при обычном контуре L2C. А это означает, что на самом низкочастотном диапазоне, где используется коэффициент К1 (К1 < 1), конденсатор С может иметь меньшую ёмкость, чем это необходимо; на самом высокочастотном диапазоне, где используется коэффициент К2 (К2>1), конденсатор С может иметь большую, чем необходимо (при других обстоятельствах), ёмкость. Отношение L/C (а, значит и простота связи) имеет тенденцию оставаться более постоянным, чем в обычной схеме резонансного контура. Это было подчёркнуто King’ом [ 1 ].
Общий случай, когда взаимная индуктивность существует между L2 и L1, был рассмотрен, но результаты не будут здесь приведены, кроме одного специального случая, который будет для нас крайне полезен. Возьмём катушку с отводом от середины, присоединим к ней КПЕ с раздельным статором (два одинаковых сблокированных КПЕ, двухсекционный КПЕ), как показано на Рис. 5.
Рис. 5. Многодиапазонный тюнер с использованием катушки с отводом от середины.
Соединение с контуром осуществляется через контакты a и b (Рис. 5). Импеданс между а и b является импедансом параллельного резонансного контура (К1f0 и К2f0, как и прежде), но К теперь выражается по-другому, согласно уравнений:

где k - коэффициент связи между половинами катушки (и имеет для этого случая отрицательное значение, будьте внимательны, об этом уже упоминалось, касательно уравнения (5)).
Частота f0 для использования с уравнением (5), представлена здесь как:
![]()
и является резонансной частотой половины катушки, в случае, когда катушка берётся целиком и отдельно с конденсатором С. Кривая, выведенная из уравнения (5), показывает К1, К2 и К2/К1, в зависимости от коэффициента k (Рис. 6).

Рис. 6. Кривые, выведенные из уравнения (4), представляющие К1, К2 и отношение
К2/К1 в зависимости от коэффициента связи k.
Здесь же приведены и предпочитаемые рабочие точки, позволяющие избежать паразитных резонансов на частотах гармоник основного сигнала (В самом деле, представьте, что первый (нижний) из упомянутых резонансов “случился” на частоте 3,5 МГц, а второй (верхний) попал на 14 МГц, т. е., на четвёртую гармонику основного тона сигнала. Так как аппаратуры идеально линейной нет, да и фильтрация в передающих аппаратах оставляет желать лучшего, в том числе и в таковых промышленного изготовления, гармоники той или иной амплитуды всё-равно присутствуют, если, в нашем случае, передатчик работает на 3,5 МГц, то он будет создавать помеху на 14 МГц. Вообще-то предпочтительно в согласующих устройствах иметь один резонанс, так как побочные частоты с гетеродинов и комбинационные, в противном случае, могут быть выделены и создать помехи на соответствующих, не кратных основной, частотах, да, чего не сделаешь, ради удобства отказаться от переключателя и дополнительных преимуществ малого объёма и веса - UA9LAQ).
Для того, чтобы иметь возможность пользоваться кривыми Рис.6 или уравнениями (5), необходимо найти взаимосвязь между коэффициентом связи и размерами катушки. К счастью, для катушки с отводом от середины, эта зависимость несложна. Как показано на Рис. 7, катушка с отводом от середины может быть заменена эквивалентным Т-образным звеном.
Рис. 7. Замена катушки с центральным отводом Т-образным звеном.
Производя измерения на выводах a - b, b - c, мы будем иметь дело с катушкой L, а, вот, на выводах a - c, уже получим 2L(1+k). Чтобы вычислить k, кое-кто тут же попытается применить формулу Wheeler’а для расчёта однослойной цилиндрической катушки без сердечника (соленоида) - длина катушки должна составлять, по крайней мере 0,8 её диаметра. Это и было осуществлено сначала отдельно между выводами a – b и b – c для катушки с половинной длиной намотки и половинным количеством витков, а затем, для полной катушки с полным количеством витков и длиной намотки (между выводами a и c). Эта система уравнений решалась одновременно и дала коэффициент связи:

где k пойдёт с правильным знаком в уравнение (5).(l/d) – отношение длины к диаметру катушки и в одних единицах измерения. Уравнение (6) соблюдается только для значений l/d = 0,8 или больше. Кривая значений k от отношения l/d показана на Рис. 8.

Рис. 8. Кривая зависимости коэффициента связи k от соотношения длины намотки
к диаметру катушки l/d для катушки с отводом от центра.
Часть кривой ниже l/d = 0,8 получена другими, более точными расчётами, но при том же подходе.
Представьте себе, что нам необходим тюнер, работающий в диапазоне частот 3,5…30 МГц, такой, который требуется для настройки (согласования) во всех любительских диапазонах. Кроме данных ёмкости КПЕ и его перекрытия по ёмкости, потребуются ещё и размеры и пропорции для катушки с отводом от середины. Нам дано, что полностью перекрываемый диапазон частот равен 3,5…30 МГц, значит, требуемое перекрытие по частоте будет: 30/3,5 = 8,58. Если мы будем настаивать на непрерывном характере настройки будущего тюнера, то отношение К2/К1 должно быть (8,58)^1/2 = 2,93. Это опасно близко к 3, так что, если мы примем это соотношение, то будем иметь полную возможность излучения третьей гармоники основного сигнала в эфир. Мы выбираем ближайшую приемлемую рабочую точку К2/К1 = 3,5, таким образом, обеспечивая пробел в перекрываемых частотах. Непрерывное перекрытие диапазона с К2/К1 = 3,5 требует большого перекрытия КПЕ по ёмкости (3,5)^2 = 12,25, что на практике трудноосуществимо. С Рис. 6 при К2/К1 =3,5 берём значение К2 = 1,92, К1 = 0,55 и k = 0,3. На Рис. 7 по k = 0,3 находим отношение l/d катушки равное 1,05. Компромиссно сдвигаем нижнюю граничную частоту перекрываемого диапазона частот до 3,4 МГц, чтобы обеспечить настройку на 3,5 МГц с запасом. Резонансная частота f01 = 3,4/K1 = 3,4/0,55 = 6,19 МГц. С перекрытием конденсатора по ёмкости 9 : 1, f01 = 3 х 6,19 = 18,55 МГц. Отсюда два поддиапазона:
6,19 х 0,55 = 3,4 МГц до 18,55 х 0,55 = 10,2 МГц и
6,19 х 1,92 = 11,9 МГц до 18,55 х 1,92 = 35,6 МГц
На частотах между 10,2 МГц и 11,9 МГц образуется провал (на эти частоты нельзя настроить тюнер), но для применения в радиолюбительской технике это неважно (Ещё как важно! Во-первых, появился новый диапазон 10,1…10,15 МГц, а если ещё появится реактивная составляющая, которую нужно будет скомпенсировать? “Провал” окажется неприемлемым! - UA9LAQ).
Итак, расчёт закончен. Останется лишь изготовить катушку, таким образом, чтобы одна половина её имела отношение длины намотки к диаметру 0,525 (l/d = 0,525) и индуктивность её имела бы такое значение (подобрать количество витков), чтобы в союзе с максимальной ёмкостью конденсатора С, контур настроился на частоту резонанса равную 6,19 МГц (с этой половиной катушки). Полная катушка должна иметь двойное количество витков и двойную длину намотки от вышеупомянутой половины катушки. Максимальная ёмкость конденсатора должна иметь величину, по крайней мере, в девять раз превышающую минимальную ёмкость контура, включающую минимальную ёмкость самого КПЕ, паразитную ёмкость монтажа и междуэлектродные ёмкости ламп(ы). Т. е., КПЕ должен иметь Смакс порядка 200 пФ на секцию, если требуемое перекрытие по ёмкости должно составлять 9 : 1. Схема тюнера может быть проверена с подключением только половины катушки с конденсатором С, с учётом отключенной части. Для индикации резонанса может быть использован обычный ГИР. Присоедините оставшуюся часть схемы как на Рис. 5, свяжите ГИР с катушкой и найдите требуемый(е) резонанс(ы) (подгоните его(их) на нужную частоту подбором индуктивности катушки). В зависимости от связи с ГИРом может быть отмечено до 3 резонансов при любом положении КПЕ С. Это может наблюдаться как на низких, средних, так и на высоких частотах. Средний резонанс можно не брать в расчёт: это последовательный резонанс схемы. Только на нижний и высший (по частоте) резонансные “провалы” (по показаниям ГИРа) следует обращать внимание и они должны быть близки к расчётным частотам.
Для проверки расчётных данных использовалась катушка диаметром 1 дюйм (25,4 мм) с плотностью намотки 16 витков на дюйм типа 3015 Barker & Williamson. Общее число витков в катушке было 34, катушка имела центральный вывод и была соединена со сблокированными конденсаторами переменной ёмкости с максимальной ёмкостью в 150 пФ по схеме Рис. 5. Резонансные частоты были измерены с помощью ГИРа с использованием его шкалы (которая, кстати имеет невысокую точность, но, видимо, достаточную для таких измерений). Получены были следующие результаты:
Измерено: Рассчитано:
Поддиапазон А 3,45…11,4 МГц 3,41…11,15 МГц
Поддиапазон В 10,4…35,9 МГц 10,4…34,0 МГц
В этой статье даны зависимости, свойственные двух-катушечному и одно-катушечному с центральным отводом широкополосным тюнерам. Применение этих схем, особенно, последней (Рис. 5) в передатчиках позволит изготавливать компактную аппаратуру, чем было возможно доселе, по существенно меньшей цене, имеющую меньшую сложность и большую эффективность.
Литература: 1.King, “No Turrets – Just Tune!”, QST, March, 1948
2. Chambers, “Three-Control Six-Band 813 Transmitter”, QST, January, 1954
3.DiMarco, “Circuitos de Resonancia Multiple y Su Apicacion en los
Transmisiores para Aficionades”, Revista Telgrafica Electronica
(Argentina), March, 1954
4. Terman, Radio Ingineer’s Handbook, 1st Edition, 1943, McGraw-Hill, p. 55
Свободный перевод с английского: Виктор Беседин (UA9LAQ) ua9laq@mail.ru
г. Тюмень апрель, 2003 г
| автоматические воздушные выключатели Эта готовая прикормка на карпа отлично сработала во время нашей последней рыбалки. | Где купить зимнюю куртку в сша shopomule.ru. |